Помогли пожалуйста нарисовать молекулярные орбитали для толуола
Как говорится: а почему вы спрашиваете?
О каких МО идет речь? \pi-система? \sigma-связи?
И самое главное для чего тебе? Личный интерес или задача какая-то? На каком уровне детальности отвечать?
В общем, в задаче нужно найти коэффициенты атомных орбиталей несвязывающей молекулярной орбитали. А нарисовать их уже моя предпочтительность.
Дай задачу. Коэффициенты можно найти качественно, а можно количественно.
OAH odd alternating hydrocarbon
Это с какого-то учебника? Похоже на задания на закрепление теории, описанной до этого.
Небольшой поиск по заданию привел к предшествующему, в котором упоминается pairing theorem. А последняя оперирует с комплексными волновыми функциями, включающими определители Слейтера.
Если у тебя действительно вопрос по pairing theorem – я тебе помочь не смогу и на этом форуме вряд ли кто-то появится, кто сможет.
Тем более, что здесь речь идет не о толуоле, а о метилциклогексане. Так что тут даже SALCs будет сложно подобрать. Тут же максимум точечная группа C_s
Я наверное лучше весь воркшит скину. И там толуол просто связи не расставлены.
А, значит тут идет какое-то упрощение теоремы о парности. И по сути здесь задача на логику, ибо вся теория дается предварительно.
- Толуол относится к альтернантной и нечетной системе
- Система маркировки атомов дана в учебнике
- тебе нужно найти именно NBMO. Коэффициенты ненулевые только при помеченных атомах
- При этом, известны следующие факты
Таким образом, допустим нумерация атомов начинается с метиленовой группы (1) и идет против часовой стрелки. Имеем следующие уравнения:
Уравнение 1 выходит из условия о нормализованности МО, а система 2 выходит из свойства 5. Имеем: 4 неизвестных и 5 уравнений. Ну и можешь найти сами коэффициенты.
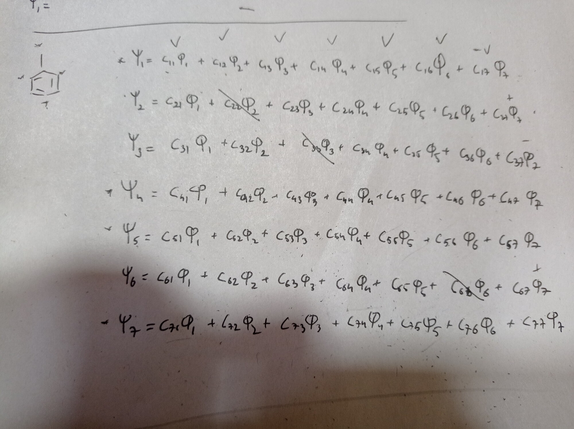
Я не совсем понимаю суть, у нас в общем для молекулы есть 49 коэффициентов. Из них нам нужны только 7. Так? Но у вас я не понял почему с1 + с2=0
Откуда эта цифра?
Если речь идет о \pi системе, то мы смотрим только на \pi систему. Посмотри пример аллила - там \sigma связи не рассматриваются. У нас 7 атомов участвующих в \pi системе и поэтому 7 АО (здесь важно понимать, что в задании речь идет не о нейтральном толуоле, а о бензильном ионе)
Потому что
То есть мы имеем дело с семью молекулярными орбиталями каждая из которых в свою очередь состоит из семи атомных орбиталей. Каждая атомная орбиталь имеет свой коэффициент.
Совершенно верно. Только тебе не нужно искать коэффициенты всех МО, тебе нужно найти лишь NBMO
А как определить какая из них несвязывающая?
Та, которая будет посередине если расположить по возрастанию энергии.
но тебе и не нужно находить энергию каждой. Тебе уже дано:
Этого достаточно чтобы найти коэффициенты некой орбитали
Тебе известно, что c_2=c_4=c_6=0. Теперь вернемся к моим уравнениям и перепишем их учитывая новую нумерацию атомов (в первом ответе я нумеровал только помеченные атомы)








