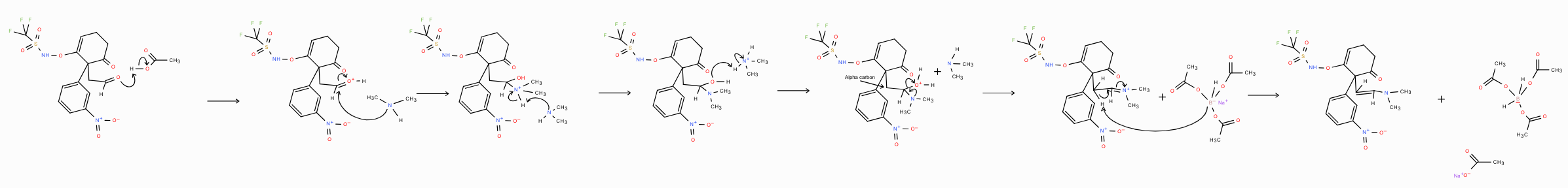
Смотрите, у вас тут возможны две атаки амина (nucleophile) на две карбонильные углероды (electrophile), но поскольку у вас альдегид более электрофильнее (где электронная плотность на углероде меньше поскольку от водород исходит меньше эл. плотности в сторону кислород, чем от углерода в бетоне) чем кетон, то атаки будет происходить соответственно на нем. А протонирование альдегида делает его еще электрофильнее (реакция еще благоприятнее). В итоге после атаки, у нас образуется iminium ion который сразу же преобразуется в более стабильный енамин с помощью NaBH(OAc)3
А используем мы NaBH(OAc)3 потому что этот восстановитель более слабый чем NaBH4. Соответственно, мы сохраняем наш исходный кетон не восстановленным.
Еще я не знаю ошибка ли или нет в механизме, но там будто просто идет енолизация ( таутомеризация) и никакого восстановления не пошло. Сразу в амин скорее
вдобавок, нуклеофильная атака по альдегиду легче еще и стерически.
Рахмет!

