2. Симметричный волчок, ось фигуры которого наклонена под углом к вертикали (см. рис. 154), совершает регулярную прецессию под действием силы тяжести. Точка опоры волчка О неподвижна. Определить, под каким углом в к вертикали направлена сила, с которой волчок действует на плоскость опоры.
Это мое решение:
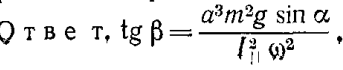
Ответ :
А у меня выходит tg B= a^3 * m^2 * g * (sin (alpha))^2 / I^2 * w^2
Помогите найти ошибку

