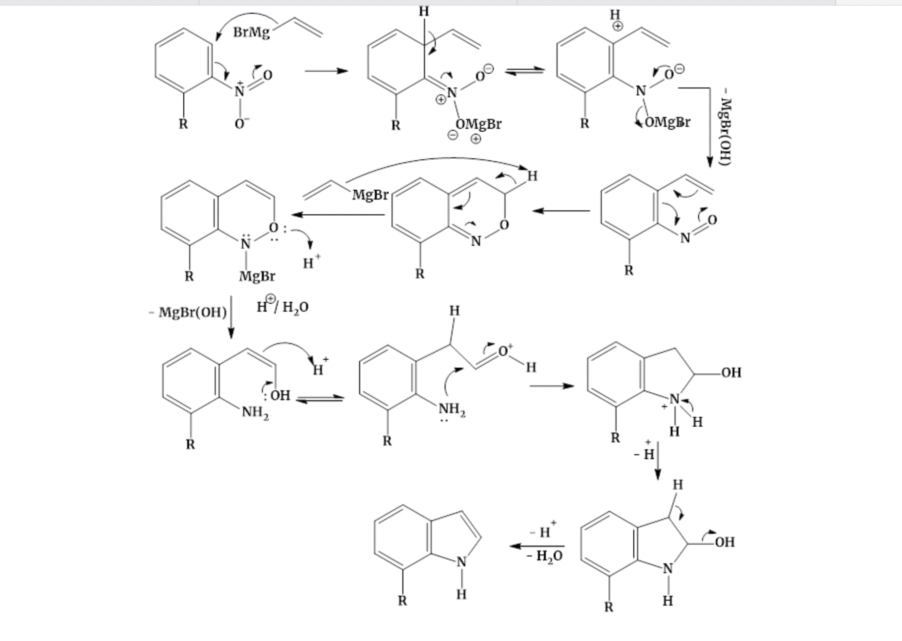
Почему атакуется кислород, а не азот?
С одной стороны, азот более электроположительный, а значит является электрофильным центром пи связи N=O
С другой стороны, при атаке азота получается нестабильный sp3 азот с положительным зарядом
Мне кажется, азот достаточно нуклеофильный чем атом кислорода, что бы так действовать
1 лайк
Честно говоря, я и сам мало понял, как они это на картинке представляют. Для меня больше такой механизм по душе:
2 лайка
Это еще не забывая, что огромная часть реакций с реактивом Гриньяра идет через SET-механизмы, и этот тоже попадает в подозрение.
1 лайк
Что-то я совсем запутался, какой по итогу механизм использовать?
Знаете ли, я вообще начал интересоватся из-за этого :

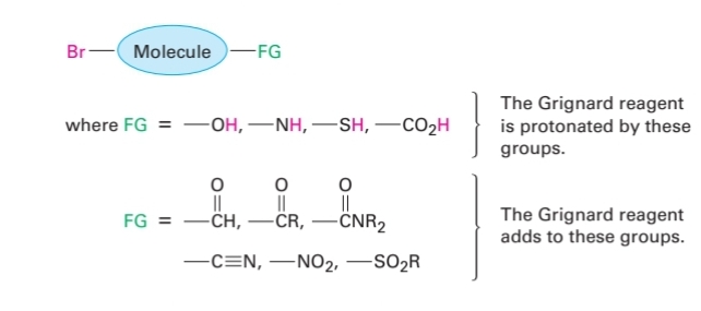
С протонированием все понятно, а вот с присоединением - нет. Ну, в алкине например связь C-MgBr реагирует с sp углеродом и образуется цикл. А вот в Нитро группе🤔


