Аналитическая химия йода


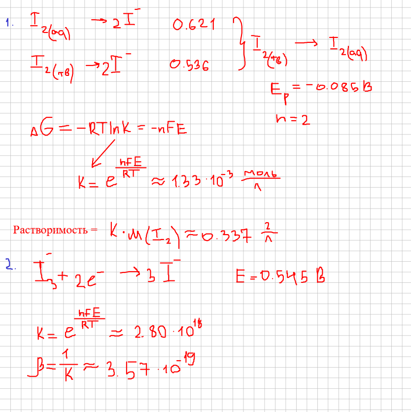
Стандартные окислительно-восстановительные потенциалы (все данные в условии задачи относятся к 250С) пар I2(aq)/I-, I2(тв)/I- и I3-/I- составляют, соответственно, E1 = +0,621B, E2 = + 0,536B и E3 = +0,545 В.

  1. Рассчитайте растворимость (г/л) иода в воде. Молярная масса I2 равна 253,8.
  2. Рассчитайте константу устойчивости комплекса I3-.
  3. Какова концентрация раствора KI (M), растворимость иода в котором составляет 1,00 г/л?
  4. В насыщенный раствор I2 в KI, содержащий 1,00 г/л I2 (см. п. 3), погрузили платиновый электрод. Чему равен его потенциал?
  5. 100,0 мл этого раствора проэкстрагировали равным объемом хлороформа (константа распределения I2 равна KD = 7,2). Какова масса (мг) иода в хлороформном экстракте?

Вот мое решение первых двух пунктов:


Оцените пожалуйста правильность моего решения, ибо я в нем вообще не уверен
Если же все правильно, то было бы неплохо если бы мне помогли с третьим пунктом.

1 лайк

Константу устойчивости I3^- рассчитывают как K=[I3^-]/[I2(aq)][I^-]. А растворимость молекулярного иода увеличивается прямопропорционально концентрации иона иода в р-ре, с образованием I3^-

5 лайков

Хорошо, но как мне выразить все эти концентрации?

Окей, но как мне все-таки найти концентрацию иона йода?

Рассчитывать концентрации для рассчета константы не нужно, попробуй с потенциалами поработать

1 лайк

Видимо решение у меня прямо перед носом, но я честно не понимаю как мне выразить концентрацию или отношение концентраций используя потенциалы

1 лайк

Это задача откуда?

1 лайк

Хз, мне учитель дал, а спрашивать у него я боюсь)

1 лайк

Я сам после 2-го не продолжил решать, но там скорее всего находишь взаимосвязь между трииодид ионом и иодид ионом, и после этого у тебя останется одно неизвестно. Так, кажись должно выйти

2 лайка

Я просто решил твою задачу и все, может правильно, может нет, но вот :

Спойлер

Спойлер

Но учти что я немного плох в решении таких задач

4 лайка

Аааа, спасибо большое, сейчас все пункты просмотрю, задам свои вопросы
Второй пункт я уже вроде понял
@M3ndeI вам тоже спасибо большое)

1 лайк

Можешь пж сказать потом у меня правильно или нет ? 4-ый я заруинил можешь не смотреть

1 лайк

Вроде правильно?

Хорошо, завтра или послезавтра будем проверять. А пока что у меня есть вопрос по третьему пункту. Откуда ты берешь [I2]? Почему именно 1,327e-3?

Причина по которой там растворилось чуть больше, часть вывалилась в I3(-)
Тут я себе представил равновесие, мол вот оно установилось и все супер, однако после этого начинают добавлять еще иода и у нас уже не K а Q, стало Q<K, для того чтобы еще раз достичь равновесия проходит еще время и становится Q=K однако это за счет того что часть I2 вывалилась в I3(-) при реакции с I(-). Методом "откатаем назад’ представим что до этого в растворе ниче не было и там появился еще I3(-) и уменьшился I2 до равновесия
Вот мол думаешь : а че ты сразу новый I3(-) написал ? Он же поверх старого идет, а нет, это метод откатывания назад, меня учили что так можно делать в аналитике

2 лайка