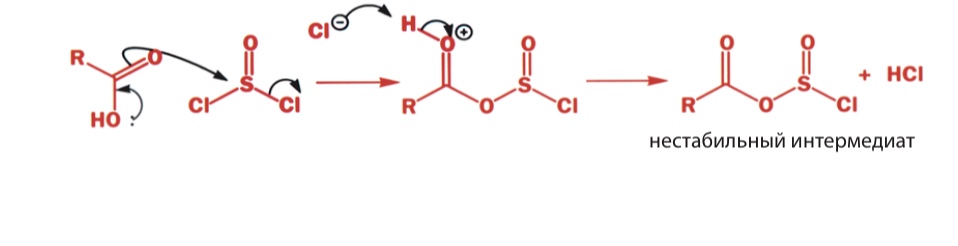
Как описать перемещение электронов неподеленной пары ОН в молекуле карбоновой кислоты? Они заселяют карбокатион,который получен после атаки П -связи серы или как описать их движение?Почему вообще атакует П связь карбонила, если электроны неподеленных пар выше по энергии?
Чем больше резонансых структур, тем стабильнее соединение. Если атака будет проходить с НЭП кислорода, никаких резонансых структур не будет (схема 2) (механизм можно писать используя НЭП sp2 кислорода. Клейден говорит что разницы нет)
Электроны карбонильной группы атакуют б* Молекулярную орбиталь S-CI. В результате разрывается связь S-CI и хлор забирает себе электроны бывшей связи
В карбоновой кислоте гидроксильный атом кислорода sp^{2} гибридизован (также, как и карбонильный кислород). Это означает, что одна из НЭП гидроксильного кислорода находится на p орбитали, и делокализована по карбонильной группе (это значит, что электронная плотность распределена между двумя кислородами). Другими словами, это скорее не конкретный перенос электронов в ходе протекания реакции, потому что эти электроны на самом деле и так-то делоказилованы, а механизм просто показывает непосредственно движение самих электронов.
Вот тут я не был бы так уверен, что они прям сильно выше по энергии, учитывая то, что они делокализованы.
Еще один фактор (в добавок к сказанному выше), если реакция бует протекать с атакой кислорода \ce{OH}, мы получим такой интермедиат:

И проблема в том, что кислород посередине не может участвовать в резонансной делокализации с \ce{C=O} и \ce{S=O} группами. Так что он может быть менее стабилен.
Но, в первую очередь, надо отдавать себе отчет, что химики настолько любят рисовать стрелки, что иногда этим увлекаются. Иными словами, схема здесь может быть нарисована такой только потому, что таким образом мы рисуем на одну стрелку больше (класиво же).
Вот взглянем на другую реакцию. Какой механизм правильнее?
Ну и в конце концов, раз уж мы пытаемся найти “истинный” механизм, нельзя не заметить, что вот такое S_N2 замещение на карбонильной сере не совсем корректно.

Расчеты показывают, что реакция проходит через addition-elimination, как с нуклеофильным замещением по карбонильной группе.


