Кинематика Сивухин

Подскажите, как ее решить, а то я чет в тупике.


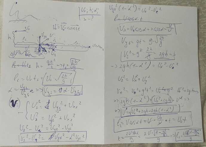
Вот, что я начеркал(надеюсь почерк понятный)

3 лайка

Мне кажется ошибка в моменте про cos(a), можешь его обьяснить?
Вообще в таких задачах на многочисленные лимитные удары, нужно знать формулу бесконечной геометрической прогрессии, тогда только думаю для тебя задача облегчится

2 лайка

Если ты про Vx = V*cosa, то я просто проекцию Vx(которая постоянна) выразил через скорость после удара и угол между ними. (я там просто, где “cos(a)=Vx/V” “икс” забыл написать)

Спасибо за совет!

1 лайк

ааа, я там буквы попутал

у меня получается две буквы “альфа” обозначающие разные вещи

2 лайка

Вообще, в последней формуле ты написал l_2=V*cos(a)t, типо альфа постоянная, но на самом деле угл с каждым ударом она меняется ~бесконечно раз~ до 0. Если хочешь его можешь оставить, но с условием, что она с каждым ударом меняется на и интегрировать

3 лайка

а вот данная нам по условию зависимость “альфа” явл-ся константой, которая показывает изменение скорости при каждом ударе?

да, отношение вертикальных скоростей после и до

1 лайк

Сможешь подсказать как это реализовать, а то я чет не пойму?

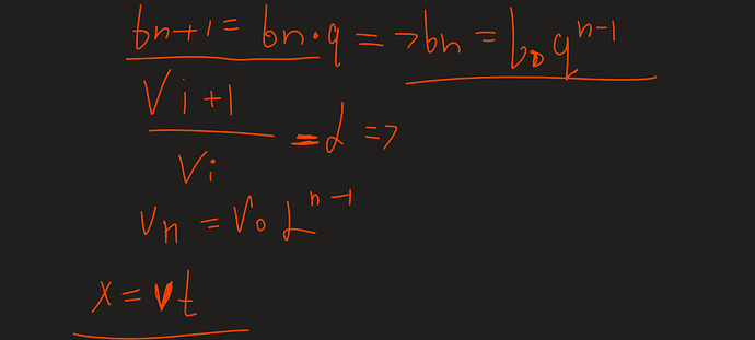
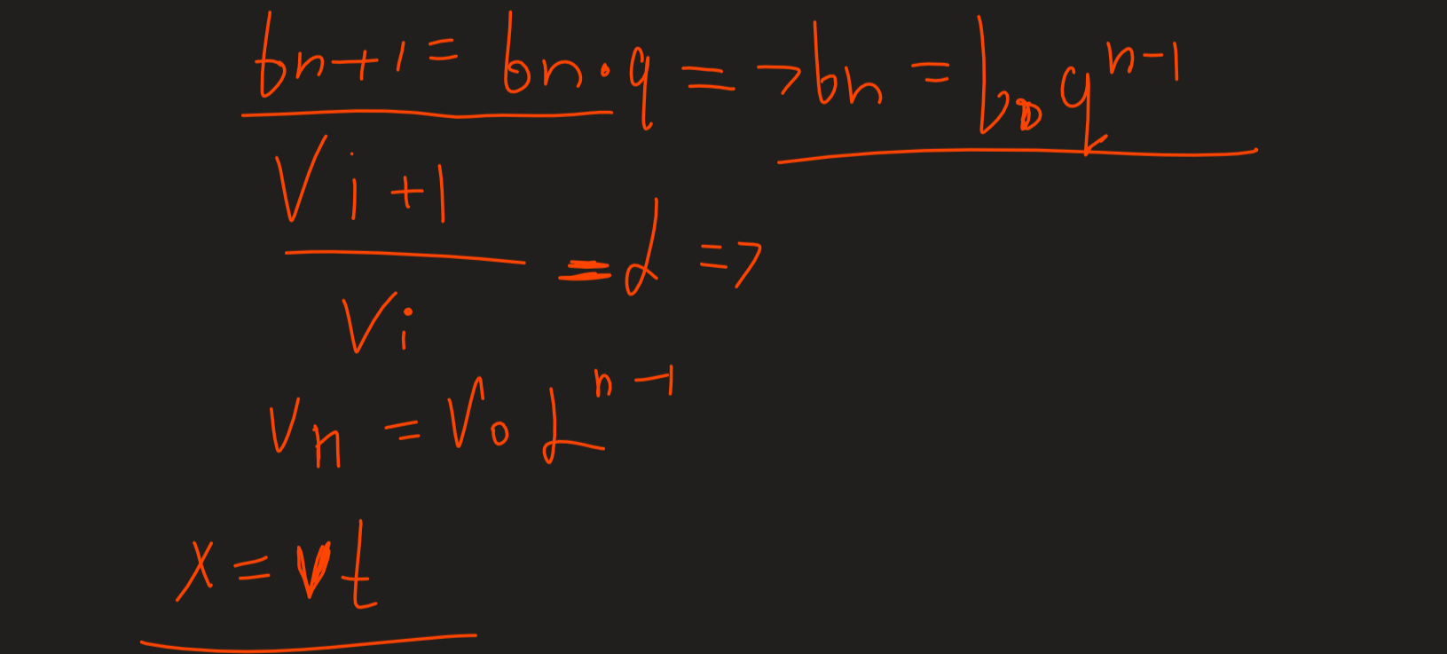
Вертикальная составляющая скорости убывает по геометрическом прогрессии


Ты должен просуммировать все перемещения по горизонтали, для того чтобы найти суммарное горизонтальное перемещение (для этого используй формулу для n-й вертикальной скорости (приведенной выше) и формулу для времени)

2 лайка

А разве не Vn = Voa^n?
Просто у меня в итоге получается ""x=Vo
корень(2h/2)* знак суммы(a^2n-2)“”

Это смотря как решаешь, если идея чуть другая, то можно и V_i=V_0*a^i решить

1 лайк

Ясно, спасибо