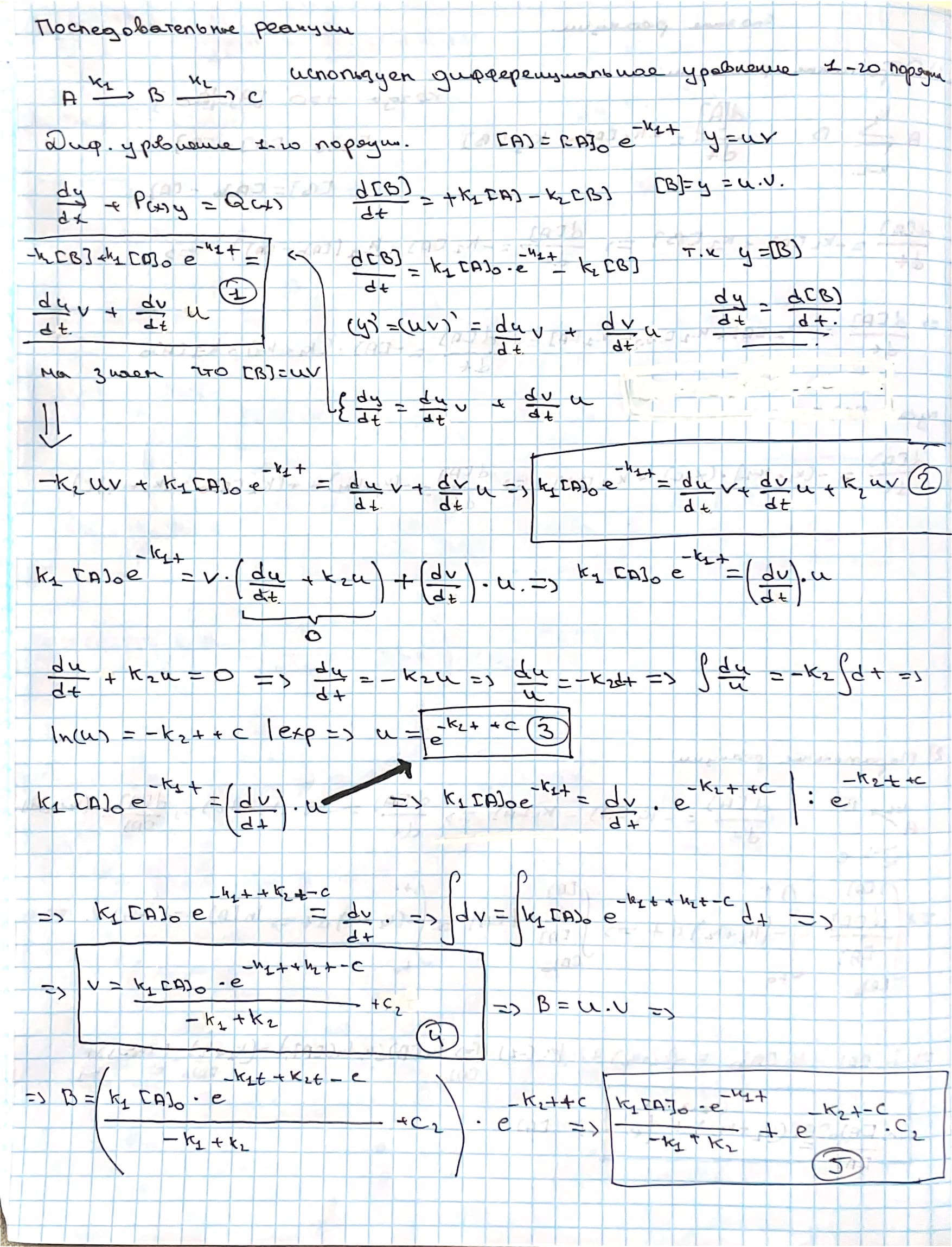
Я вывел формулу.Но когда я выводил я прировнял du/dt+k2u=0 но не понял почему.У меня матеша не такая уж и хорошая,я думал возможно это для того что бы было удобно(думаю это вряд ли так работает)Можете объяснить почему мы интегрируем после того как мы их прировняли 0?
Если не понял, то зачем выводил? Это не вывод получается. Забей на это.
Это, во-первых, нигде тебе не пригодится, во-вторых если хочешь это выводить придется тебе потратить кучу времени, чтобы разобраться как это всё функционирует (около года на первом втором курсе).
P.S. Ты когда вводил две новые функции, ты увеличил количество неизвестных и поэтому тебе разрешается одну связь самому придумать, вот твой ноль собственно это та самая связь. Но я такие уравнения люблю иначе решать, более понятным образом
Я тоже не сильно разбираюсь, но будто бы сначала найти выражение для [A] а потом решить дифф уравнение, но легче способом для [C], после этого найти [B] уже через мат. баланс было бы легче. [A]0=[A]+[B]+[C].
Интегрируем чтобы решить дифф. уравнение
Методом вариации произвольной постоянной?
Есть способ решить задачу, как в системе уравнений из седьмого класса. Нужно буквально методом Гаусса привести матрицу к диагональному виду.
И вот наша система
Немного геометрии добавим, чтобы вы могли представить, что этот способ напрашивается сам собой. Нам надо найти как меняются три числа (концентрации) во времени. Что такое два числа? Ну можно считать их вектором ([\rm A],[\rm B])
Тогда исходная система представляется нам как зависимость скорости вектора от самого этого вектора. Причем система справа линейный оператор. Т.е. наша система это просто вектор, который вращается и уменьшается по экспоненте, причем зависимость у него от времени это линейный оператор и это очень здорово.
Или что иначе можно записать:
Где линейный оператор это
На этом можно было бы и закончить написав, что решение это {\bf x}(t)=e^{At} \bf {\bf x}(0) но матричная экспонента это очень не очень (ну или очень, кому как)
Значит существуют такие начальные условия (чисто математически конечно), при которых соотношение между веществами не меняется и они просто по экспоненте уменьшаются/увеличиваются. Вот бы их найти, это будет очень удобно использовать. Этим и займемся, надо просто найти собственные вектора.
В одну строчку все нашли \lambda_1=-k_1, \lambda_2= -k_2
Найдем теперь собственные вектора:
Система имеет тривиальное решение:
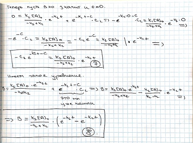
Учитывая, что мы знаем, мол в момент времени 0 у нас [A]=[A]_0, [B]=0 то подобрать нужные константы не составляет труда.
Если вся эта штука с линейной алгеброй пугает (хотя на практике этот способ решает всё намного быстрее, чем я тут расписывал), то можно пойти очень похожим образом.
Опять же, можно заранее подобрать замену линейную, которая бы менялась как экспонента.
Т.е. подобрать такое P=C_1[A]+C_2[B], чтобы при взятии производной, оно превращалось просто в \lambda P
Что равносильно простой системе:
Отсюда очевидно, что \lambda= -k_2, C_1=Ck_1; C_2=(k_1-k_2)C
Это аналог поиска собственного вектора на самом деле.
И сразу получаем уравнение:
Значит:
Откуда уравнение дающее ответ в одну строчку:


