Добрый вечер!
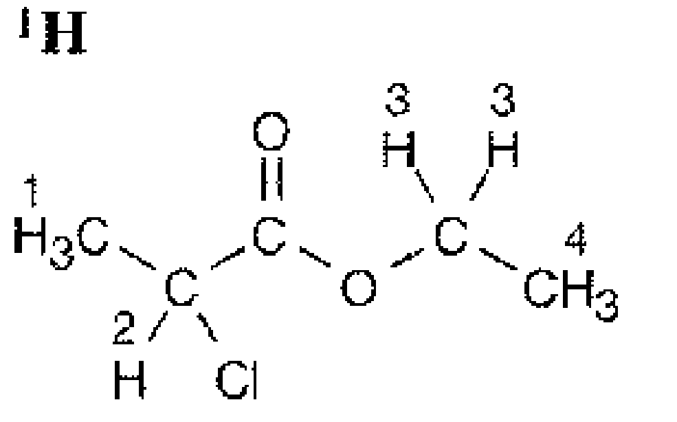
Я что-то не понимаю почему углерод 4 более дезэкранирован чем 2-го атома углерода? Согласен тем, что кислород более электроотрицательнее чем хлор. А вклад индуктивного эффекта углерода 2 получается не совсем достаточно что бы быть более дезэкранированным чем углерод 4?
Добрый🙌
Да, хотя на 2ом и карбонильная группа и хлор, похоже что все равно не дотягивают до эфирного кислорода
Почему он такой сильный? Водород кстати у С4 тоже имеет довольно высокий пик, если сравнивать его, например, с СН3 метанола. Эфирный кислород сильнее деэкранирует, чем обычный кислород, и кажется это изза делокализации его пары в карбонильную группу. При этом он становится положительно заряженным, и соответственно сильнее дезэкранирует соседний углерод
Блин, на счет резонанса даже не догадался. А такой обширный анализ приходит со временем? Ну может любой бы смог догадаться, но у меня не получилось. А ответ хороший
Допустим С2 более экранирован чем С4. Если его экранированнсть влияет на окружение ядра протона, то тут мы замечаем, что Н2 более дезкранирован чем Н3. Как-то странновато. Ну может быть два протона будут донатить электронную плотность по чуть-чуть средним количеством. А тут 1 протон возможно донатит так же как и суммированные два протона.
Нет же тут обширного анализа😂. Ну такой думаешь, экранирование имеет связь с электронной плотностью, а что там происходит с электронами в молекуле. Что изменилось при переходе от эфира к сложному эфиру? Появилась карбонильная группа, как она может влиять на тот кислород? Ну база, то что carboxylic acid derivatives имеют сопряжение с гетероатомом у карбонильной группы, это очень просто на самом деле. Ты решаешь все задачи из mechanism problems? Они как раз заставляют задумываться над механизмом, стрелочками, что очень помогает предугадывать продукты реакций, и развивают органическую логику(и не только органическую, помню применял эти знания и в других областях химии)
Это же тупо задачи в конце главы? Ну а так я все задачи в конце главы решаю
Возможно и забыл некоторые важные детали включить в рассуждение. В следующий раз буду максимально пытаться проанализировать все самостоятельно
Шо за спектр странный? В первую очередь смущает квартет. А еще возник вопрос, триплет будет более экранированным из-за EDG? Но при этом, если рассматривать гибридную резонансную структуру, то произойдет эффект дезкранировании, что может повлиять на окружение ядра протонов. Которое возможно сильнее индуктивного эффекта.
Но если посмотреть на еще один спектр, то можно рассуждать как я говорил выше.
А что именно смущает? Вроде бы все так, как и должно быть
Он слишком дезэкранирован его диапазон хим. сдвига примерно 0,7-1,3 дельта должно же быть
Так -CH2 группа которая связана с сложноэфирным кислородом самая левая, также связана с метилом, по правилу n+1 квартет.
Так я же объяснил тебе почему водород(и углерод) углерода стоящего рядом со сложноэфирным кислородом так дезэкранируется
Нет. Водороды углерода стоящего рядом со сложно-эфирным кислородом имеют хим. сдвиг как раз около 4-5
Более экранированным чем кто?
Он маленький, примерно 0.1-0.2, потому что кислород не является соседом углерода этого триплета, между ними еще один углерод
Как?
Балин, извиняюсь.
Я кажется не првильно посмотрел на спектр. Типо квартет это у нас окружение протонов CH2. А я буквально подумал, что квартет будет относиться к СН3 протонам. Возможно такое формировок мышлений возник из-за С13 спектра. Так я еще несколько задач не смог решить на Н1 ЯМР, решил их оставить на потом. Возможно решить не смог из-за данной причины
А объяснить дезэкранирование квартета чем синглета в кетоне можно с помощью индуктивного эффекта? Типо чем больше алькильная группа, тем она хорошая EDG. Но я не знаю на сколько метильные и этильные группы будут отличаться.
Хм даже не знаю. Обычно, при похожих environment, пики насыщенных \ce{CHn} примерно такие
То есть третичный углерод имеет \delta_H больше чем вторичный, и вторичный имеет \delta_H больше чем первичный, при примерно одинаковом окружении.
@Anton @Sammael почему так?
Я не читал предшествующие посты, этот вопрос нуждается в контексте?
Если нет, то как бы
водороды это часть окружения. Атомы водорода как правило отдают свою эл. плотность углероду, делая его более “shielded” для ЯМР.
Не сам по себе, для этого надо «вникать», «понимать» и «чувствовать» что изучаешь.
на самом деле меня это тоже удивило немного. Один фактор, который @Alibi забыл, это то, что карбонильная группа эл. плотность отнимает и с другой стороны (не только с той, где кислород). Базовый сдвиг CH3 группы примерно 0.7-0.9 (в 1Н ЯМР), а в альфа положении к карбонильной группе 2.0-2.4 (в ацетоне 2.1).
Решил посмотреть какой спектр предсказывает ChemDraw:
Не сам по себе, для этого надо «вникать», «понимать» и «чувствовать» что изучаешь.
У меня есть вопрос для всех. Вам general problems из 13 главы были сложными или нет? У меня вот не получилось все решить, только половину наверное.
Ну лично для меня да, и я думаю, что это вполне естественно. Были бы вот абсолютно все задачи легкими для человека после прочтения теоретического материала, это означало бы либо то, что человек достаточно хорошо знал материал до прочтения, и умел решать задачи на эту тему, либо то, что человек решает эти задачи подглядывая на решения/используя эксплицитные подсказки. Мысль в том, что как никак придется прилагать значительные усилия, чтобы использовать на практике то, что только недавно изучил.
Когда в первый раз читал и решал макмюри - да, очень. Я вообще не мог находить сложные вещества, особенно когда были с симметрией. Даже тему создал)







