Прут 7.91 Гравитация

7.91. В момент выведения искусственного спутника Земли на
расчетную круговую орбиту абсолютная величина скорости спутни-
ка отклонилась от расчетной на 10 % при неизменном направлении.
Найти отношение b/а — малой и большой полуосей реальной эл-
липтической орбиты.



помогите пожалуйста разобраться,почему при неизменном направлении,но при измененной скорости как я понял по формуле из решения,получается во такой эллипс

3 лайка

У тебя второй рисунок не совсем правильный, видимо ты условия плохо прочитал. Как я понял, перигей будет радиус земли. И знаешь ли ты как выводиться формула a^2=b^2+(a-R)^2

4 лайка


Разве не надо брать рандомный угол запуска?Потому что у нас вообще почти ничегоне известно и мне кажется поэтому малая полу ось не радиус земли,если только не перигей

3 лайка

В данной задаче угол не надо брать. Берешь что начальная скорость перпендикулярно радиусу

4 лайка

Ну если так брать то у нас начальная абсолютная скорость это первая космическая скорость?

3 лайка

help me(

3 лайка

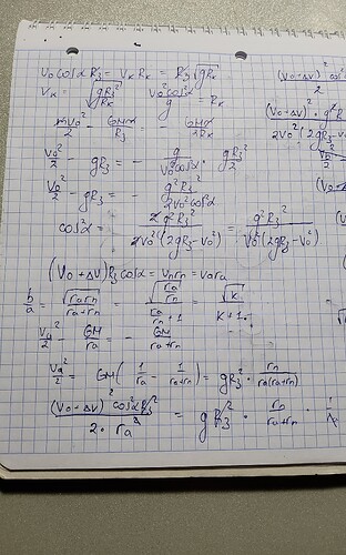
По условию первая космическая скорость «отклоняется» на 10%. Для простоты возьми что скорость уменьшается на 10%, и тело начнет двигаться по эллипсу, запиши для него энергию и момент импульса, найди от туда большую полуось и от туда найди малую полуось и задача будет решена. Потом можешь рассмотреть второй случай когда скорость увеличатся на 10%, в конце ответы выходят примерно одинаковы.

4 лайка


Вот так выходит с приближениями,хотя по идее так приближать нельзя

3 лайка

Тут не получится взять под углом потому, что тело запускается с Земли на круговую орбиту. (если ты запустишь тело под углом, то прямая вдоль вектора к скорости (т. е. касательная к орбите) будет пересекать Землю и спутник ударится об нее).

Да, это будет перигей

Начальная скорость будет превышать первую космическую на 10%. (меньше не может быть потому что врежется в Землю)

Ты можешь найти большую полуось по формуле полной энергии \displaystyle E=-\frac{GMm}{2a}. Далее, зная расстояние до перигея, находишь малую полуось.

3 лайка

Используя эти уравнение можно решить задачу. Думаю дальше ты справишься, и сорри когда я тебе писал я написал что радиусом земли будет являться малой полуосью, я не заметил этого но это не малая полуось а перигей. Я перепутал.

3 лайка

Я там выше уже решил но почему то ответ не сходится

3 лайка

Ладно я так понял что я просто неправильно сделал приближение и не делав его ответ приблизительно выходит,буду считать решенной

3 лайка

Тут не надо ничего приближать.

4 лайка

Хотел бы также спросить,следующая задача такая же,но тут скорость смещают на определленый угол,разве спутник не врежется в землю после этого?

3 лайка

Это также зависит от скорости.

4 лайка

Пардон, в таком случае ты прав и начальный радиус орбиты не является радиусом Земли. Тогда угла нет просто потому, что они хотят вывести спутгник на круговую орбиту, а для нее скорость должна быть перпендикулярна радиус-вектору из центра Земли.

3 лайка

Типо там есть какая то установка с которой запускают ракету и угол наклона ракеты должен стремиться к нулю чтобы не врезаться не во что,верно?

4 лайка

Скорее всего ее вначале запускают на определенную высоту, а затем меняют направление и скорость ракеты с помощью двигателя, чтобы спутник вышел на определенную орбиту.

Если радиус орбиты заметно превышает Земной, то не должен. Просто в задаче им нужна именно круговая орбита и они хотят сделать угол малым.

5 лайков