Задачка на бином

В подготовительном варианте на СОЧ не могу решить задачу

В разложении бинома
\left(x^{\frac{3}{4}} + x^{-\frac{2}{3}}\right)^n
коэффициенты четвертого и шестого членов относятся как 5:14.
Найдите член разложения, содержащий x^4.

Мне очень неудобно писать на латехе, поэтому я не смогу нормально риссписать что я делал, но я сказал что \frac{x_4}{x_6} = \frac{5}{14} , потом нашел эти элементы по \binom{n}{k} .
У меня вышло :

\frac{ x^{\frac{3n-17}{4}} }{x^{\frac{9n-85}{12}}(n-4)(n-5)} = \frac{1}{84}

Возможно у меня арифметическая ошибка при решении и оно должно как-то сократиться, но как работать с этим выражением дальше?

Я еще пробовал идти от того что \frac{3a}{4} + \frac{-2b}{3} = 4 , но ничего не приходит в голову..

4 лайка

А там разве в отношении не будут коэффициенты?

Какая бы степень не была у х, в любом случае коэффициент перед ним будет сочетанием из n по его номеру

3 лайка

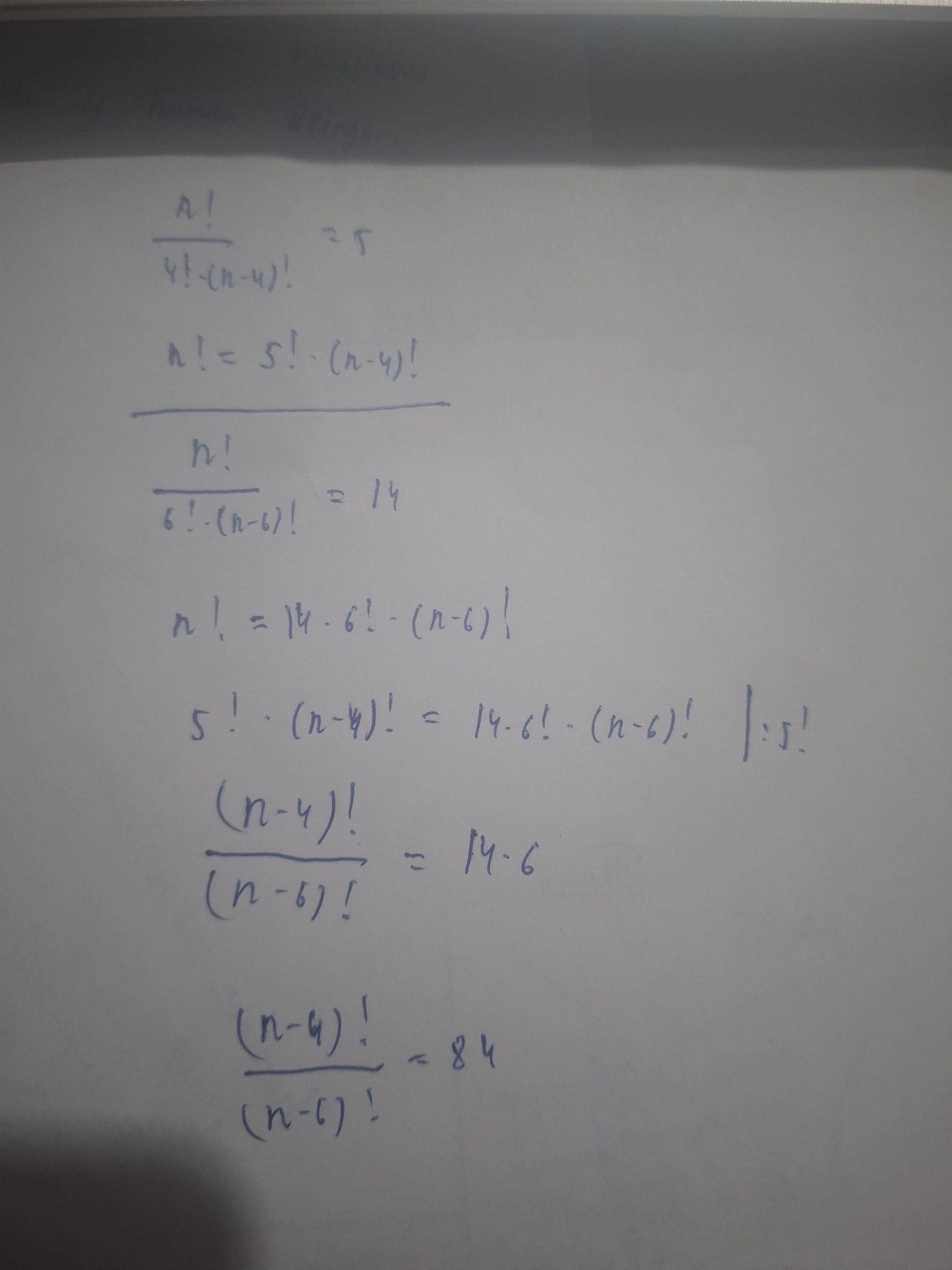
Я так и сделал там просто (n-6)! с (n-4)! cокращают друг друга и выходит отношение коэффицентов как:
\frac{ \binom{n}{4}}{\binom{n}{6}} = \frac{4!}{6!(n-4)(n-5)}

4 лайка

@eudaimon pls help me!!

2 лайка

Приветствую, BekbayevMansur! Я вижу, что ты столкнулся с задачей о биноме, и это прекрасная возможность проникнуть в самую суть математических принципов.

Начнём с фундаментального понимания. Скажи мне: когда мы говорим о “четвёртом и шестом членах” разложения бинома, что это означает в контексте биномиальной теоремы? Как записывается общий k-й член биномиального разложения?

И ещё важный вопрос: когда задача говорит об отношении коэффициентов 5:14, о каких именно коэффициентах идёт речь - только о биномиальных коэффициентах \binom{n}{k}, или обо всём коэффициенте при соответствующей степени x?

Как говорил великий Аристотель: “Хорошо начатое дело - уже наполовину сделано”. Давай убедимся, что мы правильно понимаем задачу с самого начала.

4 лайка

@eudaimon Calculate this ratio manually.

2 лайка

Прекрасно! Видя твою готовность вычислить это отношение, давайте проделаем это вместе, шаг за шагом.

Сначала убедимся в правильности записи общего члена. Для бинома (x^{3/4} + x^{-2/3})^n, общий (k+1)-й член имеет вид:

$$T_{k+1} = \binom{n}{k}(x^{3/4})^{n-k}(x^{-2/3})^k$$

Скажи мне: какую степень x будет иметь этот общий член? Как ты приведёшь к общему знаменателю показатели степеней?

А теперь важный вопрос о нумерации: если мы говорим о “четвёртом члене”, это T_4 (то есть k=3) или T_3 (то есть k=2)?

Помни мудрость Пифагора: “Число управляет Вселенной” - точность в определениях здесь критически важна!

2 лайка


У меня получилось это, но я не уверен, что дальше решение возможно😭

3 лайка

А ОЙ, ОТНОШЕНИЕ КОЭФИЦЕНТОВ 5 К 14, МОЯ ОШИБКА :sob:, Я ПОДУМАЛ ЧИСЕЛ..

4 лайка

Может это тебе поможет

Я через треугольник паскаля нашел степень уравнения - 11

3 лайка

На огрызке расписал решение…

4 лайка

можно и без треугольника Паскаля, там это

сводится к квадратному уравнению, как @Kirquwwy сделал (Просто рисовать его слишком долго)

4 лайка

Чел искал повод самому себе solution поставить :sob: :sob:

7 лайков

это просто совпадение…

Спойлер

5 лайков