X2 и Y2 и соединение X2Y

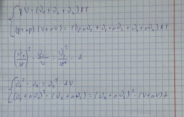
В цилиндре под поршнем находятся газы X2 и Y2 и
соединение X2Y . В системе протекает химическая реакция 2X2 + Y2 ↔ 2X2Y . В равновесном
состоянии (когда скорости химической реакции в прямом и обратном направлениях равны) при
давлении p система занимала объём V , а количества веществ X2, Y2 и X2Y были равны ν1, ν2
и ν3 соответственно. Давление на систему изменили на малую величину ∆p. Найдите изменения
объёма системы ∆V и количеств веществ ∆ν1, ∆ν2, ∆ν3 после установления нового равновесия.
Температура всё время поддерживается постоянной.
Примечание. Известно, что скорость химической реакции пропорциональна произведению
концентраций νi/V реагирующих веществ. Соответственно, скорости прямой и обратной реакций пропорциональны
ν1
V
2 ν2
V
и

ν3
V
2
. Коэффициенты пропорциональности могут быть разными, но зависят только от температуры. Газы можно считать идеальными


image
можете помочь с решением?

Такое впечатление, будто автор задачи пытается очень насильно заставить тебя изобрести и использовать понятие константы равновесия и свести задачу к другой. В систему уравнений надо ещё стехиометрию добавить, изменения количеств все друг с другом связаны же.

Вы умеете решать задачи на равновесные смеси?

2 лайка

С помощью закона Дальтона или как?

Вы его уже использовали, речь про стехиометрические соотношения, это же химия…
Через реакцию связаны.
Вы же решали задачи по химии?

1 лайк

Нет до этого не решал, в целом по химии задачи очень мало решаю

\frac{-\Delta \nu_1}{2}=\frac{-\Delta \nu_2}{1}=\frac{\Delta \nu_3}{2}

Подумайте почему так

2 лайка

2X2 + Y2 ↔ 2X2Y
это связано с этой химической реакцией

Угу, новые атомы же у нас не появляются, поэтому каждая молекула Y_2, которая израсходовалась, это две новые молекулы X_2Y, аналогично все остальные равенства

3 лайка