Некоторое время назад, мы обсуждали принцип неопределенности. В частности, стоял вопрос какая постоянная должна использоваться: обычная h или приведенная \hbar. Со стороны может показаться, что это своего рода случайное (необоснованное) решение.
Важно: мысли публикуются в довольно сыром виде, но я не знаю, когда у меня появится время написать это более продуманно
И в целом, когда ты сталкиваешься с квантовой механикой в общем образовательном процессе, тебе кажется, что квантовая механика – это продукт каких-то случайных бредовых рассуждений, которые сделали какие-то ученые и вообще не понятно что происходит. От части, мне кажется проблема в том, что в рамках бездумной популяризации науки на первый план выставляется дихотомия: есть классическая механика, есть квантовая. И это как бы две разные реальности. А проблема таки в том, что в этом научпопе классическая механика приравнивается к Ньютоновской. И вот мол, в классической механике есть законы Ньютона, есть \vec{F}=m\vec{a}.
И проблема не ограничивается тем, что в школе нам дают понять о существовании лишь верхней части айсберга, которым является Ньютоновская механика. Мы даже и намека не видим на существование Лагранжевой механики, которая смотрит на классическую под совершенно другим углом! И наконец, многие из нас ассоциируют Гамильтона с квантовой механики (ибо в уравнении Шредингера есть оператор Гамильтониан), хотя на самом деле, Гамильтонова механика это тоже классическая механика!
Перепрыгнем к Гейзенбергу.
На самом деле, неопределенность импульса и позиции является частным случаем более общего правила. Общее правило выводится следующим образом (в общих чертах).
-
Квантовая механика построена на операторах. Операторы – математическое нечто, которое может действовать на другое нечто. Операторы могут действовать на вектора, функции, определители матриц. Особенный интерес предъявляют так называемые собственные значения и собственные векторы / функции операторов. Если при действии оператора на некую функцию мы получаем ту же функцию помноженную на скалярное число, это число является собственным числом, а эта функция является собственной функцией оператора. В Квантовой механике есть следующие постулаты:
- Любой физической величине, которую можно наблюдать, соответствует линейный Эрмитов оператор. (Эрмитов – некое свойство оператора). Например, есть оператор импульса, позиции, энергии.
- Любое одно измерение Эрмитова оператора дает его собственное значение. Иными словами, измеренный импульс системы есть собственное значение оператора (таких может быть хоть бесконечное количество).
- Среднее значение (математическое ожидание) оператора \hat{A} имеет следующую интересную форму:
- Дальше начинается череда невероятно фундаментальных математических преобразований. P.S. Страница 138 квантовой механики Griffiths.
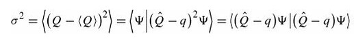
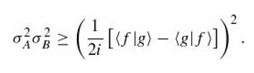
Для начала заметим, что для некой измеримой величины Q дисперсию можно записать в следующем виде (q - среднее значение измеримой величины):
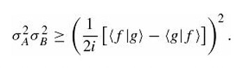
Запишем это выражение для двух разных величин (и соответственно операторов) \hat{A} и \hat{B}. А потом, как ни странно (привет математикам) мы применим неравенство Коши-Буняковского в Гильбертовом пространстве. Где f=\hat{A}-a, а g=\hat{B}-b.
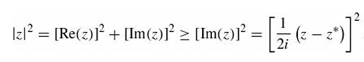
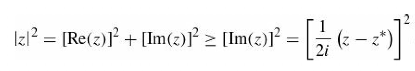
Учитывая то, что \langle f \vert g \rangle это комплексное число, вспомним, что его можно преобразовать как:
В итоге, получается
Потом проделываем преобразования используя свойство Эрмитовых операторов:
И получаем следующий результат:

В нем примечательно сразу несколько вещей. Во-первых, мы обязаны работать в поле комплексных чисел (это в дополнении к вопросам о то, что естественно, а что нет). Во-вторых, примечательно, что неопределенность зависит от значения коммутатора. Коммутатор равен нулю если операторы можно применять в любом порядке. (А если коммутатор двух операторов равен нулю, то их произведение неопределенностей равно нулю, а значит, мы можем измерить хотя бы одну величину из этой пары со 100% точностью).
Например, в поле чисел мы имеем свойство коммутативности: 2\cdot3=3\cdot2. Далеко не каждая пара операторов обладает этим свойством.
Я могу сказать, что коммутатор оператора позиции \hat{x} и импульса \hat{p} равен i \hbar. И тогда вы уже получите известную форму принципа неопределенности.
Теперь самое интересное: операторы используются не только в квантовой механике. Они используются в той самой механике Гамильтона. И даже в механике Гамильтона коммутатор импульса и позиции не равен нулю. Там нет комплексного числа i и приведенной постоянной планка, но он не равен нулю.
Т.е., то, что мы не можем одновременно измерить импульс и позицию в какой-то степени явление классической механики (!!!). Принцип Гейзенберга является следствием самой природы импульса, вне зависимости от того, в какой механике мы оперируем.
Так вот, к чему я это. А к тому, что, за исключением ученых, мы, люди, просто надменные и самодовольные придурки, которым в школе показали уравнения, которые соответствовали пониманию мира четырехсотлетней давности, и решили, что этого достаточно, что мы понимаем этот мир. В какой-то степени, мне кажется, что в этом есть и вина системы образования (и не Казахстанской, а общечеловеческой, ибо эта проблема есть и в западных странах), поскольку к концу обучения поваляется какое-то конформистское, успокаивающее ощущение, что кругозор достаточно расширен, теперь можно специализироваться в чем-то одном. Но это не так!
Мысль, описанная выше, безумна. Она не имеет ничего общего с реальностью! Настоящее понимание той же химии возможно только при глубочайшем понимании физики и математики, и речь идет не о производных и интегралах, а об анализе, линейной алгебре, топологии, и многом другом. Те вещи, которыми занимаются олимпиадники по физике и математике, в какой-то степени, являются просто обязательным элементом кругозора для настоящего химика. Под настоящим химиком я подразумеваю того, кто понимает химию, а не кто просто пользуется ей как инструментом для проведения каких-то экспериментов, в надежде получить что-то значимое.
Я не претендую на понимание того, что нужно химику и каким он должен быть. Но сейчас, когда мой взор был направлен на поиск чего-то фундаментального, чего-то логичного, науки, построенной a priori, а не a posteriori, я очень быстро начал задыхаться от того объема неизведанного, необходимого к постижению, что уже начал ощущать будто бы я опаздываю, я не успеваю элементарно дойти до уровня тех химиков, которые продвигали науку в прошлом столетии. А ведь в какой-то мере логично ожидать, что выпускник бакалавра уже должен быть готов выйти к рубежу знаний и начать его проталкивать. Но сейчас, в массе, это все профанация, мы сидим довольные на рубеже знаний 18 века и даже не подозреваем о том, как быстро нам придется бежать, чтобы расплатиться за свое текущее бездействие.
Что я хотел этим сказать?
- Даже если у вас знания на уровне золотого медалиста IChO – вы даже еще не представляете сколько вы еще не знаете.
- Химию, в какой-то степени, можно назвать более сложной наукой, чем математика и физика, поскольку серьезные продвижения в химии можно сделать только обладая знаниями вполне серьезного математика и физика.
- Не тратьте время в пустую. Природа мироздания гораздо интереснее 99.99% того, с чем сталкивается обыватель, не притронувшийся к прекрасному.
Я спать.




