Почему интеграл произведения НЕ сопряженной пары волновой функций равен нулю?

Допустим молекула может существовать в трех состояниях

  1. Основное, с энергией E_{0} и волновой функцией \psi_{0}
  2. Первое возбужденное, с энергией E_{1} и функцией \psi_{1}
  3. Второе возбужденное, с энергией E_{2} и функцией \psi_{2}
\Psi = c_{0}\psi_{0}+c_{1}\psi_{1} + c_{2}\psi_{2}

Если проинтегрируем плотность вероятности, то

\int \pu{dx}\Psi^{*}\Psi=1=\int \pu{dx}(c_{0}^{*}\psi^{*}_{0}+c_{1}^{*}\psi^{*}_{1}+c_{2}^{*}\psi_{2}^{*})(c_{0}\psi_{0}+c_{1}\psi_{1}+c_{2}\psi_{2})

Что упрощают до

\int \pu{dx} c_{0}^{*}c_{0}\psi_{0}^{*}\psi_{0}+\pu{dx}c_{1}^{*}c_{1}\psi_{1}^{*}\psi_{1}…

Так как приняли, что интеграл НЕ сопряженной пары волновой функции равен нулю:

c_{0}^{*}c_{1}\int \pu{dx}\psi_{0}^{*}\psi_{1}=0

Говорят, что это связано с тем, что три базисных вектора находятся перпендикулярно друг к другу, но я все равно не понял, почему из этого вышел ноль
@Anton @Sammael @DrMrmld

3 лайка

Положим у нас есть вектора \vec{v}=a\hat{i}+b\hat{j} и \vec{w}=c\hat{i}+d\hat{j}.

При каком условии эти два вектора ортогональны?

2 лайка

Щас, посмотрю ваше видео в школе про вектора…

1 лайк

Вы ведь в 11 классе, вы не проходили вектора??

3 лайка

Я в 10ом, в 9 классе по состоянию здоровья длительное время отсутствовал на уроках. Ну все, видео смотрю

1 лайк

Накидал я что-то про ортогональность, тут знать вектора вообще не надо. Может полезно будет @Alibi

1 лайк

Ну вообще-то нет. То, что ты показал на втором скрине – то, что для эрмитовых операторов невырожденные айгенфункции имеют \int dx \psi^*_m \psi_n =0. Чтобы сказать, что они ортогональны, надо понимать, что \int dx \psi^*_m \psi_n =0 и есть математическое определение ортогональности (о чем, собственно, и вопрос автора).

То, что \int dx \psi^*_m \psi_n =0 значит, что \psi_m и \psi_n ортогональны друг другу верно для любых функций, не обязательно айгенфункций и уж тем более не обязательно, что для айгенфункций эрмитова оператора.

Чтобы ответить на изначальный вопрос, надо понимать векторы.

Векторы \vec{v} и \vec{w} ортогональны, если их скалярное произведение равно нулю.

\vec{v} \perp \vec{w} \implies \vec{v} \cdot \vec{w} \implies ac+bd=0

Что такое скалярное произведение? Мы просто перемножаем координату перед каждым базисом и суммируем.

Дальше нужно просто совершить переход от векторов к функциям. Вспомним, что \mathbb{R} это вещественные числа, а \mathbb{C} комплексные. Любой двумерный вектор можно охарактеризовать двумя числами a, b (коэффициентами перед базисами). Если a, b \in \mathbb{R}, то мы имеем дело с плоскостью \mathbb{R}^2. Если a,b \in \mathbb{C}, то мы имеем дело с плоскостью \mathbb{C}^2

Любой трехмерный вектор можно охарактеризовать тремя числами a,b,c \in \mathbb{C}, значит мы имеем дело с пространством \mathbb{C}^3. Скалярный продукт трехмерных векторов – это тоже попарное перемножение трех чисел.

Можем продолжать для четырехмерных векторов, n-мерных векторов. n-мерные вектора находятся в векторном пространстве \mathbb{C}^n.

Можно смотреть на это все и немного в обратную сторону. Мы можем сказать, давайте создадим плоскость \mathbb{R}^2. Чтобы получить привычное векторное пространство, мы говорим: давайте мы создадим плоскость, в которой определена операция скалярного произведения (в общем случае его называют inner product), для которого действуют определенные свойства. Tckb Если определить скалярное произведение векторов \vec{v}, \vec{w} \in \mathbb{R}^n как:

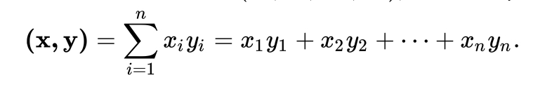
\vec{v}\cdot \vec{w} = \sum_{i=1}^n a_i b_i

то мы получим то, что мы называем двумерным векторным пространством. Т.е. существование скалярного произведения – неотъемлемая часть пространства, в котором существуют векторы. Это как существование операции сложения для чисел. Оно просто есть.

Теперь, что если мы хотим создать пространство \mathbb{C}^\infty? Давайте создадим его. Тогда каждый вектор внутри этого пространства имеет бесконечное количество координат. И на самом деле этот вектор можно назвать привычной для нас функцией. Почему? Можно рассматривать функцию как something which maps inputs to outputs. We can consider all inputs (0, 1, 2, 2.1, 2.11) as indices of our vector and all values at those indices as outputs. Because there’s an infinite number of inputs (if our function is continous, of course), the vector will have infinite length. So, essentially, a function is a vector of infinite length.

Так вот. Если мы еще введем понятие внутреннего продукта как (мы совершаем переход от дискретного суммирования к интегрированию):

\phi \cdot \psi = \lim_{n\to \infty} \sum_{i=1}^n a_i b_i = \int dx \phi^* \psi

То мы получим Гилбертово пространство. И на самом деле, один из под-утверждений первого постулата, что наши волновые функции как раз существуют в этом Гилбертовом пространстве. То есть для них определена операция внутреннего продукта как интегрирование комплексносопряженной на обычную функцию. А свойство внутреннего продукта – то, что если он равен нулю, значит мы называем вектора (функции) ортогональными. Т.е. когда мы говорим о волновых функциях, мы уже подразумеваем, что для них операция интегрирования \int dx \phi^* \psi является аналогом «скалярного произведения».

Я согласен, что думать о функциях как о векторах немного непривычно и осознать то, что я говорю сложно. Я думал об этом в два шага:

  1. Убедиться, что я соглашаюсь с терминологией для векторов в 2х и 3х мерных пространствах. Что например \vec{v} \cdot \vec{w}=0 \implies \vec{v} \perp \vec{w}
  2. Осознать, что мы получаем функции если увеличиваем размерность векторов до бесконечности. И тогда мы можем пользоваться тем же математическим аппаратом, что и для векторов. Именно поэтому, кстати, и было введены обозначения Дирака. Вы можете знать, что вектора можно представлять в таком виде: \vec{v} = \lang a, b \rang и тогда \vec{v} \cdot \vec{w} = \lang a,b \rang \cdot \lang c,d \rang. Можно упростить нотацию до | v \rang и | w \rang и тогда скалярное произведение \lang v | \cdot | w \rang. Можно просто опустить точку и записать \lang v | w \rang. И можно ввести такое обозначение для всех привычных векторных операций. А потом просто сказать: смотрите, это обозначение не зависит от размерности векторного пространства. Поэтому мы можем использовать его и для бесконечномерных пространств, т.е. для функций.
9 лайков

Что вы имеете ввиду под inputs, indices of our vector и outputs?

1 лайк

Вектор \vec{v}=a\hat{i}+b\hat{j} можно представить в виде \lang a, b \rang.

Давайте пронумеруем каждое измерение. В измерении 1, значение вектора a. В измерении 2, значение вектора b. Если считать номер измерения за аргумент функции, а значение в этом измерении значением функции, то вектор \lang a, b\rang это компактное обозначение дискретной функции:

y=f(x) = \begin{cases} a & \text{при } x=1 \\ b & \text{при } x=2 \end{cases}

Если количество измерений бесконечное, то любой вектор может описать непрерывную функцию. Если взять множество всех векторов, то они будут описывать любую возможную функцию.

5 лайков

Если мы хотим непрерывную функцию, то значит она должна иметь значение и при x=1,5 , и при x= -\sqrt2 . Но тогда мы подразумеваем, что существует полуторомерное или вообще отрицательное измерение?

4 лайка

Окей, если две функции это вектора с бесконечными координатами a_{i} и b_{i} , то их скалярное произведение равно [1]

\phi \cdot \psi=\lim_{n\to\infty} \sum_{i=1}^{n}a_ib_i

Но не получается понять( почему это равно

\int \pu{dx} \phi^*\psi

  1. Почему i=1 ? Тип, если n=2, то там же есть еще a_2b_2 ↩︎

1 лайк

Это просто красивая аналогия, а не строгий переход (если попытаться сделать его строгим, надо вводить еще парочку страшненьких математических объектов, от которых у математиков руки потеют, типа дельта-функций).

Просто дело в том, что \int \pu{dx} \phi^*\psi по определению является скалярным произведением, т.к. мы можем скалярным произведением над какими-то объектами обозвать любые операции, которые удовлетворяют всего трем условиям.

Поэтому можно придумать десяток разных скалярных произведений даже для обычных векторов (хотя мы привыкли пользоваться Евклидовым, ибо это имеет простой геометрический смысл), и придумывать скалярные произведения для матриц, функций, комплексных векторов, комплексных функций и т.д. и т.п.

5 лайков

А не, правильно. Я чето путаю

По какому определению…. :sob: . Я просто понять не могу откуда взялся \int dx и комплексносопряженное \phi^*

1 лайк

Мы можем скалярным произведением над какими-то объектами линейного пространства обозвать любые операции, которые удовлетворяют всего трем условиям

  1. Для любых трёх элементов {\displaystyle \mathbf {a} _{1},\mathbf {a} _{2},\mathbf {b} } пространства \mathbb {L} и любых чисел \alpha ,\beta справедливо равенство: {\displaystyle (\alpha \mathbf {a} _{1}+\beta \mathbf {a} _{2},\mathbf {b} )=\alpha (\mathbf {a} _{1},\mathbf {b} )+\beta (\mathbf {a} _{2},\mathbf {b} )} (линейность скалярного произведения по первому аргументу).
  2. Для любых {\displaystyle \mathbf {a} ,\mathbf {b} } справедливо равенство {\displaystyle (\mathbf {a} ,\mathbf {b} )={\overline {(\mathbf {b} ,\mathbf {a} )}}}, где черта означает комплексное сопряжение.
  3. Для любого {\displaystyle \mathbf {a} } имеем: {\displaystyle (\mathbf {a} ,\mathbf {a} )\geqslant 0}, причём {\displaystyle (\mathbf {a} ,\mathbf {a} )=0} только при {\displaystyle \mathbf {a} =0} (положительная определённость и невырожденность скалярного произведения соответственно).

Проверьте для данного интеграла эти условия, всё сходится.

6 лайков

Когда мы определяем векторное пространство, помимо определения размерности мы должны ввести процедуру скалярного произведения. Например, с двумерным пространством мы не просто говорим: берем \mathbb{R}^2, мы говорим еще, что введем операцию скалярного произведения, определяемую как \sum_i^n a_ib_i.

Тоже самое и с Гилбертовым пространством: мы берем \mathbb{C}^\infty и предлагаем использовать такое-то определение скалярного произведения. Использование интеграла взамен суммирования, имхо, должно быть логичным – иначе у вас любое скалярное произведение будет бесконечным. Почему берем комплексно сопряженную одной из функций – просто такой выбор. Можем придумать пространство \mathbb{C}^\infty в котором скалярное проивзедение будет \int dx \phi \psi. Просто такое пространство не будет полезным.

Ну, в какой-то степени это просто аналогия. А можно еще и спросить что мешает называть измерения в нашем трехмерном пространстве как -1, -2 и -3? Это же просто название, оно не несет никакого смысла, по большей степени. И здесь это только для иллюстрации как массив чисел может представлять функцию.

Математически, к слову, количество измерений в пространстве – не больше, чем количество элементов в его базисе. Т.е. сколько различных векторов/функций нам нужно, чтобы описать любой вектор/функцию в пространстве.

3 лайка

А как в рамках этой аналогии решается проблема счётности?
При любом бесконечном количестве измерений, множество будет счётным. А множество действительных чисел является несчётным

4 лайка

Не получается использовать логику. Надо понять

  1. Физический смысл скалярного произведения \mathbb{C}^{\infty}

  2. Физический смысл \int \pu{dx}\phi^{*}\psi

1 лайк

Замыканием пространства наверное

2 лайка

Вы знакомы с суммой Римана? Интеграл – это, по сути, сумма Римана в лимите. Мне что-то подсказывает, что вам будет полезно почитать пару лекций по мат. анализу (например, начиная с лекции 18)

Такой же, как и у скалярного произведения для конечного векторного пространства.

2 лайка

Вот хорошее введение в линейную алгебру. Плейлист из 16 видео, а вот первое видео:

2 лайка