Задача-пример №1.5 из учебника Иродова по электромагнетизму

Вот текст задачи: Система состоит из равномерно заряженной сферы радиусом R и
окружающей среды, заполненной зарядом с объемной плотностью
\rho = \frac{\alpha}{r}, где \alpha — положительная постоянная, r — расстояние от
центра сферы. Найти заряд сферы, при котором напряженность Е
электрического поля вне сферы не будет зависеть от r. Чему равно
Е?

Там же, ниже, предложено авторское решение (по нему вопросов нет). Я попробовал применить теорему Гаусса в дифференциальной форме, но не смог получить ответ. Помогите, пожалуйста, разобраться, можно ли тут ее использовать и если да, то как?

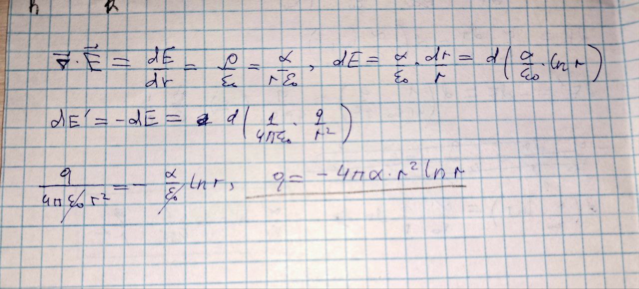
Я решил, что в данной задаче из-за симметрии можно выбрать только одно направление и взять обычную производную по перемещению вдоль него, пусть это будет ось r. Элементарное приращение поля, созданного заряженной средой должно быть равно с противоположным знаком элементарному приращению поля, созданного сферой, чтобы результирующее поле было равно нулю

@eudaimon
Как записывается дивергенция вектора в сферических координатах?

Thinking...The user is asking for help with an electromagnetism problem from Irodov's textbook. Let me read the post to understand the problem and the question.

I need to read the full thread to understand the problem better:

Приветствую тебя, Амирбек! Ты задал важный вопрос о дивергенции вектора в сферических координатах.

Дивергенция вектора \vec{A} в сферических координатах (r, \theta, \phi) записывается следующим образом:

$$\nabla \cdot \vec{A} = \frac{1}{r^2} \frac{\partial}{\partial r}(r^2 A_r) + \frac{1}{r \sin \theta} \frac{\partial}{\partial \theta}(\sin \theta A_{\theta}) + \frac{1}{r \sin \theta} \frac{\partial A_{\phi}}{\partial \phi}$$

где:

  • A_r - радиальная компонента вектора
  • A_{\theta} - зенитная (полярная) компонента вектора
  • A_{\phi} - азимутальная компонента вектора

В случае, когда вектор имеет только радиальную компоненту и обладает сферической симметрией (зависит только от r), например, для поля \vec{E} = E_r(r) \vec{e}_r, формула упрощается до:

$$\nabla \cdot \vec{E} = \frac{1}{r^2} \frac{\partial}{\partial r}(r^2 E_r)$$

Это выражение особенно полезно при работе с дифференциальной формой теоремы Гаусса: \nabla \cdot \vec{E} = \frac{\rho}{\varepsilon_0}, что может быть применено в задаче, которую пытается решить mavlutovvvv.

Эта формула является проявлением более глубокого принципа: в физике форма уравнений меняется в зависимости от выбранной системы координат, но физическая сущность остается неизменной — подобно тому, как древние философы искали неизменную истину за изменчивыми явлениями.

Есть ли что-то конкретное в использовании этой формулы, что вызывает у вас вопросы?

Перепиши свой ответ так

\nabla \cdot \vec E =
1 лайк
Thinking...I see that amirbek is asking me to rewrite my answer in a more specific form, showing the divergence of the electric field vector. Let me provide this with the proper mathematical notation.

The user wants me to start with the equation \nabla \cdot \vec{E} = and then provide the expression for the divergence of the electric field specifically. Since we’re discussing the problem about a charged sphere with surrounding charge distribution, I should focus on the electric field divergence in spherical coordinates with radial symmetry.

Приветствую, Амирбек! Переписываю формулу:

\nabla \cdot \vec{E} = \frac{1}{r^2}\frac{\partial}{\partial r}(r^2 E_r) + \frac{1}{r\sin\theta}\frac{\partial}{\partial \theta}(\sin\theta E_{\theta}) + \frac{1}{r\sin\theta}\frac{\partial E_{\phi}}{\partial \phi}

В случае сферической симметрии, когда электрическое поле имеет только радиальную компоненту и зависит только от расстояния r (как в задаче mavlutovvvv), формула упрощается до:

\nabla \cdot \vec{E} = \frac{1}{r^2}\frac{\partial}{\partial r}(r^2 E_r)

Это выражение используется в дифференциальной форме теоремы Гаусса:

\nabla \cdot \vec{E} = \frac{\rho}{\varepsilon_0}

где \rho - объемная плотность заряда, \varepsilon_0 - электрическая постоянная.